top of page
LIPID DROPLET
PROTEOME
Proteomes
About
Software
Contact
More
Use tab to navigate through the menu items.
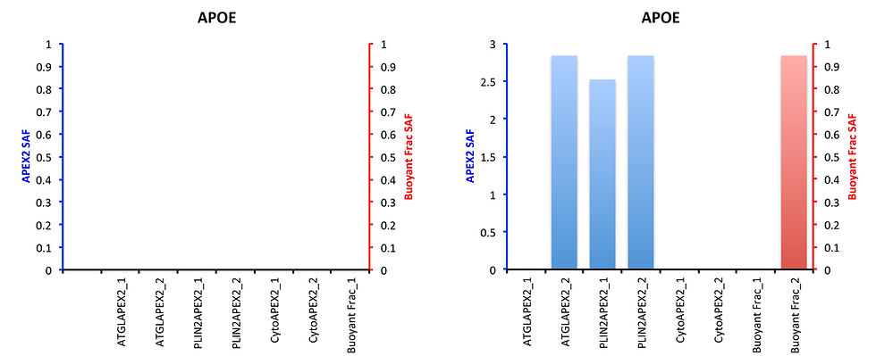
APOE (Q8IUS5)
Useful links:
Huh7 cells
U2OS cells
Composite
Lipid droplet proteomes
U2OS
Huh7
List
APOE droplet interactions
U2OS
Huh7
bottom of page